Article
Health outcomes according to severity of acute kidney injury at ICU admission: a population-based cohort study
Hundemer, G.L., Dumicho, A.Y., Knoll, G.A. et al.
Intensive Care Med(2026). Published: 05 February 2026
https://doi.org/10.1007/s00134-026-08317-5
Abstract
Purpose
The presence and severity of acute kidney injury (AKI) upon ICU admission provides important short- and long-term prognostic information. Existing reports have been limited by inadequate baseline kidney function assessment, incomplete outcome capture, limited adjustment for illness severity, and small sample sizes.
Methods
We conducted a population-level study of all adult (≥ 18 years) Ontario, Canada residents with available outpatient baseline creatinine measurements admitted to the ICU from 2009–2021. AKI at the time of ICU admission was determined according to the Kidney Disease Improving Global Outcomes (KDIGO) criteria. Outcomes included death and kidney replacement therapy (KRT). Multivariable logistic regression modeling was used to estimate adjusted odds ratios (aOR).
Results
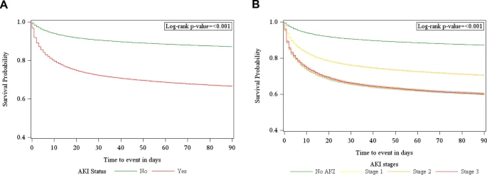
The study cohort included 484,956 adults (43% female) admitted to the ICU. Mean (SD) age and baseline eGFR were 68 (15) years and 77 (25) mL/min/1.73 m2, respectively. AKI was present in 105,671 (22%). Relative to no AKI, stage 1 AKI was associated with approximately twofold higher odds for 90-day mortality (aOR 1.89 [95% CI 1.85–1.93]) while stages 2 and 3 AKI were associated with approximately 2.5-fold higher odds (stage 2 aOR 2.64 [95% CI 2.54–2.73], stage 3 aOR 2.54 [95% CI 2.45–2.63]). Relative to no AKI, there was a progressively increased risk for KRT dependence at 90 days: stage 1 (aOR 2.05 [95% CI 1.79–2.34]), stage 2 (aOR 4.28 [95% CI 3.40–5.40]), and stage 3 (aOR 8.61 [95% CI 7.71–9.62]).




Conclusion
The presence and severity of AKI at the time of ICU admission are strongly associated with adverse health outcomes. Stage 2 and 3 AKI portend a similarly high risk of mortality.