Article
Heterogeneity and predictors of the effects of AI assistance on radiologists
Yu, F., Moehring, A., Banerjee, O. et al.
Nat Med 30, 837–849 (2024)
https://doi.org/10.1038/s41591-024-02850-w
Abstract
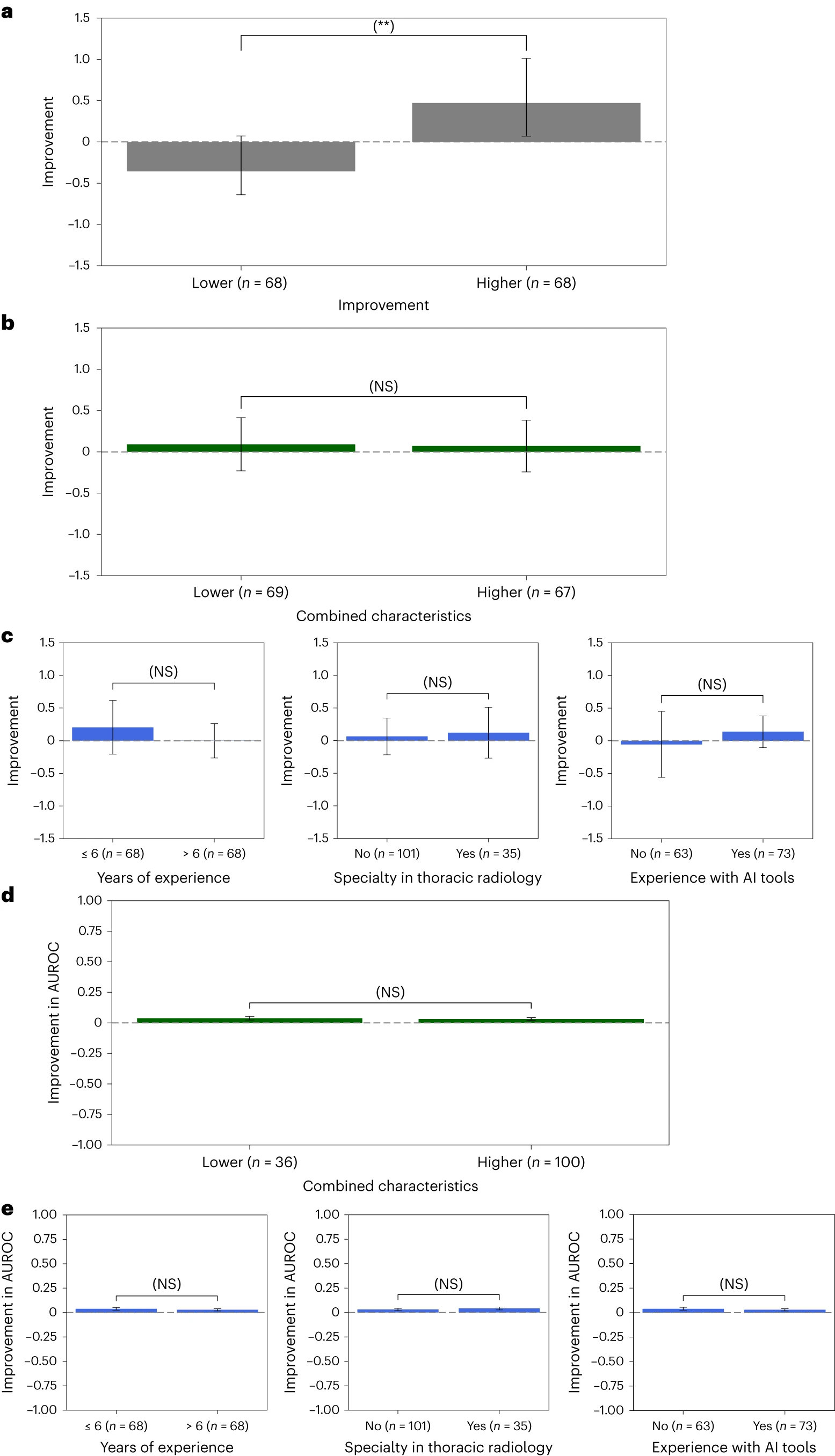
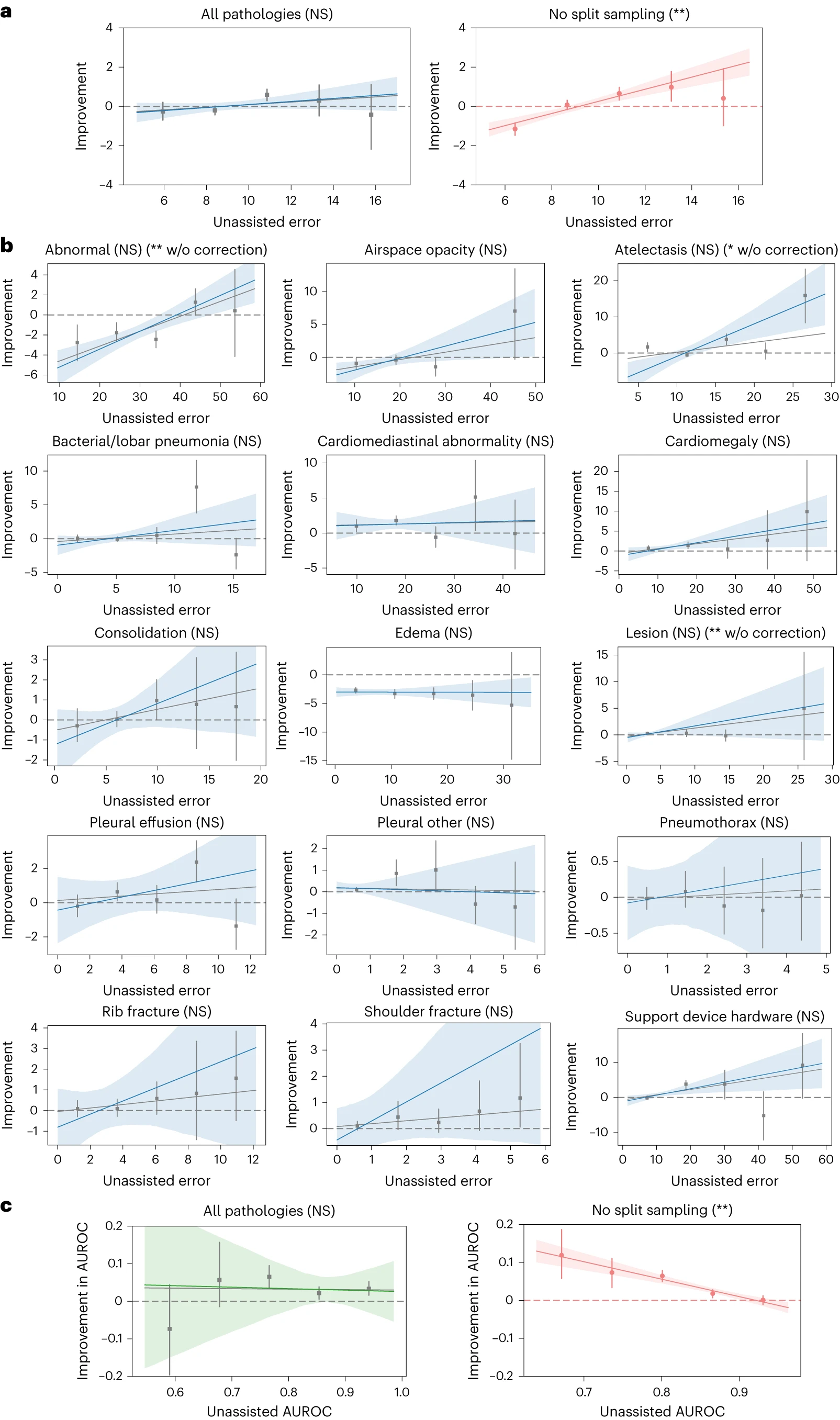
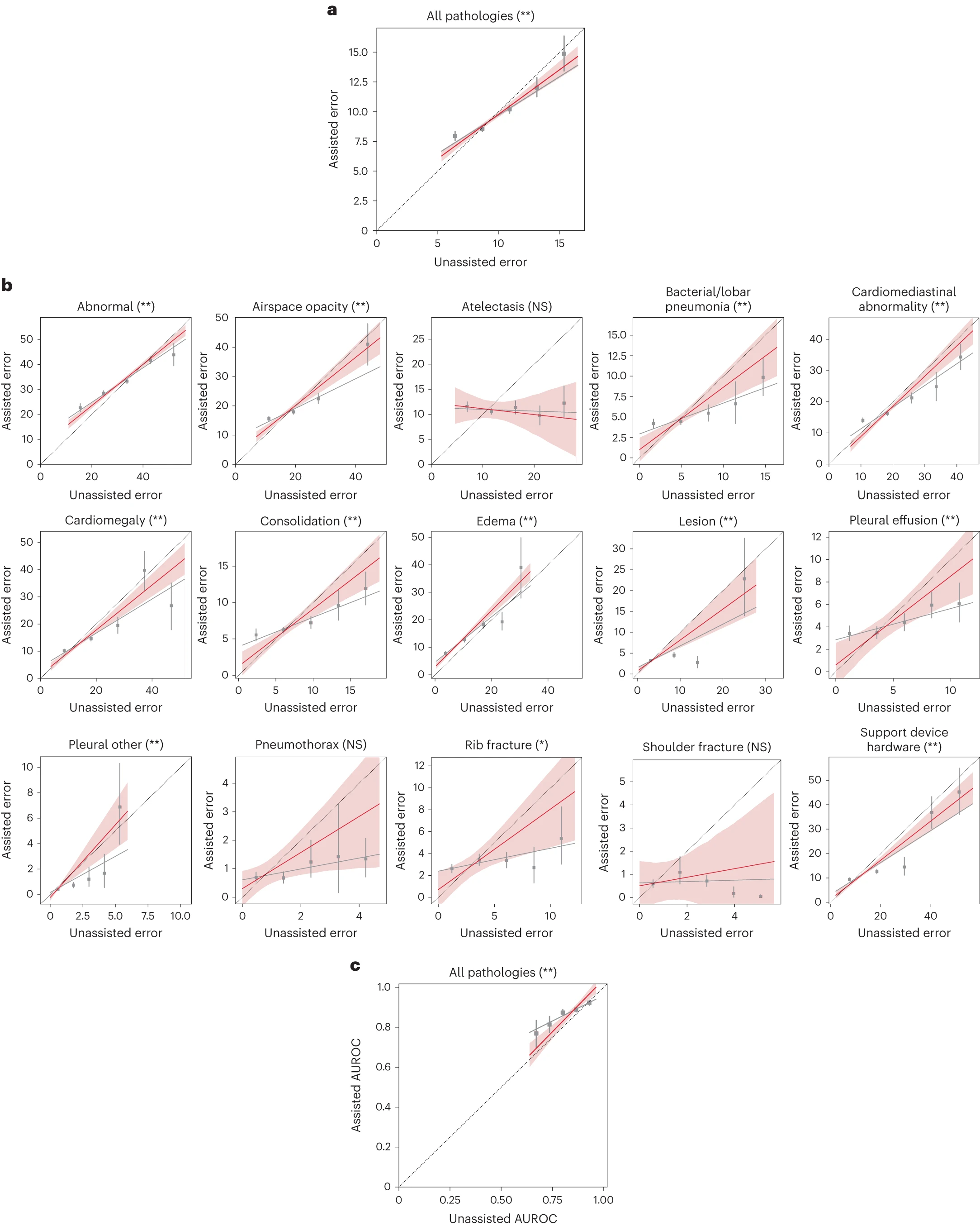
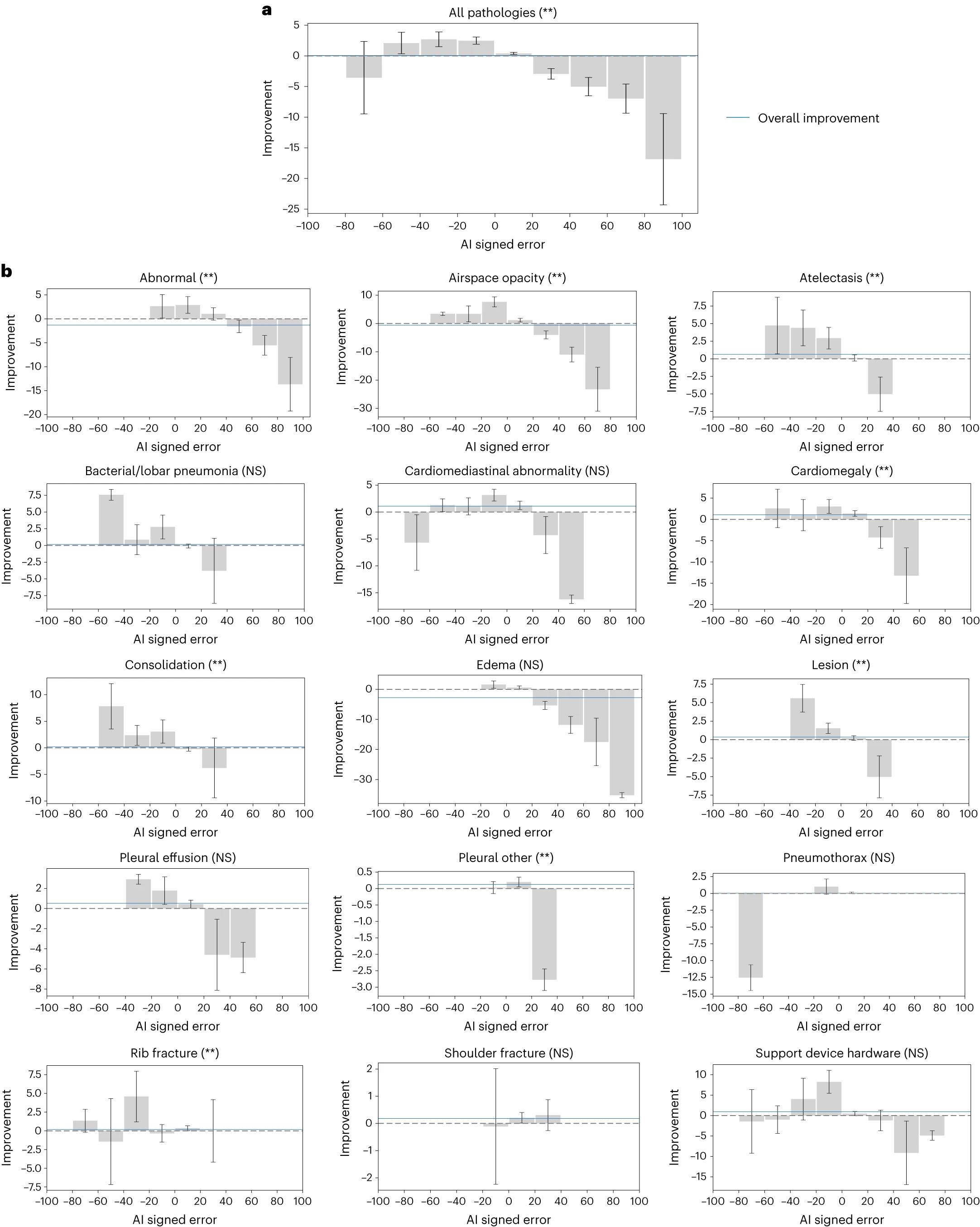
The integration of artificial intelligence (AI) in medical image interpretation requires effective collaboration between clinicians and AI algorithms. Although previous studies demonstrated the potential of AI assistance in improving overall clinician performance, the individual impact on clinicians remains unclear. This large-scale study examined the heterogeneous effects of AI assistance on 140 radiologists across 15 chest X-ray diagnostic tasks and identified predictors of these effects. Surprisingly, conventional experience-based factors, such as years of experience, subspecialty and familiarity with AI tools, fail to reliably predict the impact of AI assistance. Additionally, lower-performing radiologists do not consistently benefit more from AI assistance, challenging prevailing assumptions. Instead, we found that the occurrence of AI errors strongly influences treatment outcomes, with inaccurate AI predictions adversely affecting radiologist performance on the aggregate of all pathologies and on half of the individual pathologies investigated. Our findings highlight the importance of personalized approaches to clinician–AI collaboration and the importance of accurate AI models. By understanding the factors that shape the effectiveness of AI assistance, this study provides valuable insights for targeted implementation of AI, enabling maximum benefits for individual clinicians in clinical practice.




